Innovación y Desarrollo Tecnológico
TEMAS DE INTERÉS
Master Builders Solutions presenta MasterCO2re, su última innovación en la química de aditivos superplastificantes de alto rendimiento caracterizada por una alta tolerancia a los áridos problemáticos, para promover el desarrollo sostenible del hormigón gracias a un mejor aprovechamiento de los recursos naturales.
MasterCO2re, aditivos superplastificantes para la fabricación de hormigón de calidad con arenas problemáticas
Diciembre 1 - 2025
19
2 minutos de lectura
Fuente: Interempresas
Arenas para la fabricación de hormigón
La arena es el principal componente del hormigón, significando casi el 50% de su composición, y por este motivo la calidad de la arena es crucial para que el hormigón cumpla con las exigencias estructurales prescritas y la durabilidad esperada. Uno de los principales aspectos que condicionan la calidad de las arenas es su contenido de arcillas, determinado a partir del ensayo del azul de metileno UNE-EN 933-9, ya que la presencia de arcillas en las arenas produce una serie de comportamientos no deseados que alteran severamente las prestaciones mecánicas del hormigón, al mismo tiempo que acortan su durabilidad.
En muchos casos, para que las arenas cumplan con las limitaciones del valor de azul de metileno (MBV) que regulan la calidad mínima para su uso en hormigón, es necesario aplicar tratamientos complementarios durante el proceso de fabricación destinados a reducir el contenido de arcilla. Pero paralelamente, el empleo de arenas de baja calidad (aunque conformes con la mínima calidad exigida) frecuentemente obliga al productor de hormigón a tomar medidas adicionales para que el hormigón siga cumpliendo con las prestaciones demandadas.
- Lavado de arenas durante la fabricación de arenas
El proceso más común para reducir el contenido de arcillas de las arenas es el lavado, que se efectúa habitualmente en las mismas zonas de extracción. El proceso de lavado de arenas consiste en someter la arena bruta a un flujo de agua que arrastra la fracción más fina, que es donde se acumulan las arcillas, separándola del resto de fracciones de arena. De esta manera, se obtienen arenas de calidad satisfactoria en relación con las exigencias del azul de metileno, pero a costa de sacrificar su contenido de finos casi por completo, que acarrea otras problemáticas en la fabricación y puesta en obra del hormigón.
Por la naturaleza del proceso, con el lavado de arenas se incrementa el impacto ambiental asociado a la producción de áridos y, en cualquier caso, implica una serie de sobrecostes para los productores de arenas. Por un lado, el lavado consume un alto volumen de agua y genera residuos sólidos que deben ser transportados hasta vertederos autorizados para su debida disposición. Precisamente, además del gasto de agua, otro sobrecoste a asumir es el asociado a la gestión de los residuos sólidos generados, que pueden representar hasta el 10-20% del volumen de arena total. A estos costes adicionales debe añadirse, además de los costes directos de operación y de mantenimiento de la planta de lavado, el coste de oportunidad perdido, que se establece a partir de la diferencia entre el volumen de arena bruta extraída y el volumen de arena final, la cual se corresponde con la fracción de material separada por el lavado y que se transforma en residuo.
- Medidas correctoras aplicadas en la producción del hormigón
La presencia de pequeñas cantidades de arcilla en las arenas provoca el aumento de la demanda de agua del hormigón debido a la elevada finura de las partículas de arcilla. Esto obliga a que, para obtener la consistencia deseada, sea necesario incrementar el contenido de agua del hormigón en el momento de su fabricación, por lo que el hormigón endurecido presentará una mayor porosidad y permeabilidad que, como muestra la Figura 2(a-d), produce la reducción de las resistencias mecánicas y la merma de durabilidad.

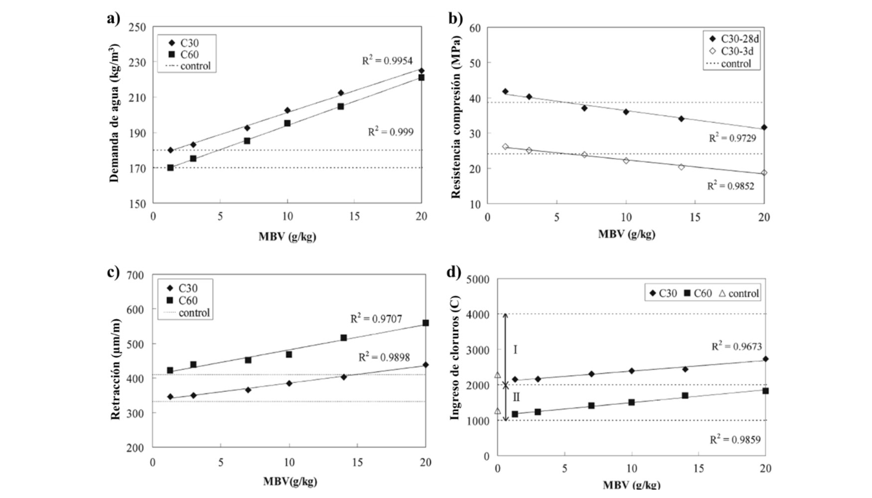
Figura 2 – Efectos provocadas por arenas contaminadas con arcilla, definida a partir del valor de azul de metileno; a) Demanda de agua; b) Resistencias a compresión; c) Retracción; d) Ingreso de cloruros.
Como se observa en la Figura 2, la alteración de todas las propiedades representadas aumenta linealmente con el incremento del valor de azul de metileno (MBV) de la arena, el cual se correlaciona con la actividad arcillosa, pero que en realidad no son más que las consecuencias directas del aumento de la demanda de agua.
Por otro lado, y simultáneamente al aumento de la demanda de agua, las arcillas también interfieren en el rendimiento de los aditivos reductores de agua, reduciendo o incluso inhibiendo por completo su capacidad fluidificante. De este modo, el aumento de la demanda de agua promovido por la presencia de arcillas en la arena no puede ser contrarrestado de forma eficiente simplemente con una mayor dosificación de aditivo.
Una medida para contrarrestar los efectos adversos derivados de una mayor demanda de agua es incrementar el contenido de cemento por encima de los mínimos exigidos. Otra alternativa para minimizar los efectos no deseados de las arenas que contienen arcillas consiste en el empleo de arenas correctoras, que sustituyen parcialmente a la arena de menor calidad. En cualquier caso, tanto el incremento de la cantidad de cemento como el empleo de arenas correctores conlleva sobrecostes para el productor de hormigón y perjudica el impacto ambiental asociado, especialmente la huella de CO2 y el consumo de agua, que pueden incrementar hasta un 20% y 30%, respectivamente.
Estas mismas medidas correctoras son las habitualmente aplicadas cuando se emplean arenas lavadas que apenas contienen fracciones de tamaño inferior a 0,125 mm. En esta situación es necesario aportar un contenido adicional de finos para compensar las carencias de la arena lavada. En caso contrario, la falta de finos produce hormigones faltos de cohesión y muy propicios a segregar, que complican la puesta en obra y provocan acabados de calidad deficiente.
Interferencia de las arcillas en el rendimiento de los aditivos reductores de agua
Simultáneamente al incremento de la demanda de agua del hormigón, la presencia de arcillas en las arenas interfiere de forma directa en las prestaciones de los aditivos reductores de agua. Sin embargo, la magnitud de esta interferencia depende del tipo de arcilla presente y del tipo de aditivo reductor de agua empleado.
- Interferencia por adsorción competitiva
Todas las arcillas reducen en mayor o menor grado la capacidad fluidificante de todos los tipos de reductores de agua porque compiten con el cemento para la adsorción de aditivo. En este sentido, como se trata de un proceso de adsorción superficial, la elevada superficie específica típica de las partículas de arcilla (hasta 30 veces superior a la del cemento) hace que pequeñas cantidades sean suficientes para que se manifiesten mermas en el rendimiento de los aditivos.
La adsorción competitiva de aditivo entre la arcilla y el cemento es el mecanismo de interferencia que se produce cuando se emplean aditivos superplastificantes basados en polímeros lineales como los de poliacrilatos o naftalenos y melaminas sulfonadas, que son los principales ingredientes de los superplastificantes convencionales. Este mismo proceso de interferencia es el que se produce entre los aditivos superplastificantes de nueva generación basados en polímeros ramificados de policarboxilato (PCE) y las arcillas del tipo no expansivas, como por ejemplo las micas, cloritas y caolines. En cualquier caso, la interferencia por adsorción competitiva provoca la pérdida parcial de la capacidad fluidificante de los aditivos, que será de mayor o menor magnitud en función del tipo de arcilla, pero que en ningún caso llega a provocar la inhibición completa de su rendimiento.
- Interferencia por intercalación de aditivo
Cuando las arenas contienen arcillas del tipo expansivas, como las montmorillonitas, se experimenta otro mecanismo de interferencia simultáneo al de la adsorción competitiva que solamente se desarrolla cuando se emplean aditivos superplastificantes basados en PCE, pero que no se observa con los superplastificantes convencionales. Este mecanismo de interferencia exclusivo entre arcillas montmorillonitas y polímeros de PCE se basa en la intercalación de las cadenas laterales del polímero de PCE dentro del espacio interlaminar de estas arcillas, que se representa en la Figura 3.

Figura 3 – Modelo del mecanismo de intercalación de las cadenas laterales del polímero de PCE en el espacio interlaminar de arcillas montmorillonitas.
Debido a que la capacidad fluidificante de los polímeros de PCE se basa en la repulsión estérica que provocan las cadenas laterales, la intercalación de estas cadenas dentro de las arcillas montmorillonitas impide que se pueda desarrollar el mecanismo de dispersión, de tal modo que la capacidad fluidificante queda prácticamente inhibida en su totalidad. Sin duda alguna, esta interferencia es la más problemática, y resulta especialmente preocupante en el caso de hormigones de altas prestaciones que no pueden ser fabricados con los aditivos superplastificantes convencionales.
En general, se puede establecer que la pérdida de prestaciones del aditivo será mayor cuanto mayor sea su afinidad para interaccionar con la arcilla. De este modo, para desarrollar aditivos superplastificantes con menor sensibilidad a las arcillas y con prestaciones comparables a las de los aditivos basados en PCE, es imprescindible comprender como se establecen las afinidades de adsorción en función de las propiedades de la arcilla y de la estructura polimérica del aditivo.
MasterCO2re, aditivos superplastificantes de altas prestaciones y con baja sensibilidad a las arcillas
MasterCO2re es la más reciente innovación en la química de aditivos presentada por Master Builders Solutions. Se trata de una nueva tecnología de aditivos superplastificantes cuya capacidad fluidificante y reductora de agua se sitúa en el mismo nivel que los aditivos de nueva generación basados en PCE pero que presenta una mayor tolerancia ante la presencia de arcillas en las arenas, de tal modo que se minimizan los típicos fenómenos de interferencia por los cuales se reduce su eficiencia. Los fundamentos de esta innovadora tecnología se basan en la síntesis de estructuras poliméricas que minimicen la adsorción competitiva, de tal modo que su afinidad de adsorción sobre el cemento sea mayor que su afinidad para interaccionar con las partículas de arcilla.

Figura 4 – Ensayo con aditivos MasterCO2re.
Con los aditivos MasterCO2re de Master Builders Solutions. se abre un nuevo panorama para el empleo de arenas en hormigón, porque permiten simplificar o incluso suprimir las medidas correctoras que deben aplicarse en la fabricación de hormigón para contrarrestar los efectos indeseados derivados de las arenas de baja calidad. De este modo, MasterCo2re aporta interesantes ahorros de costes para el productor de hormigón y reduce su impacto ambiental asociado, a la vez que ofrece la oportunidad de emplear arenas con valores de azul de metileno más elevados sin la necesidad de incrementar el contenido de cemento o de usar arenas correctoras.
La mayor tolerancia ante arcillas de los superplastificantes MasterCO2re junto con su elevada capacidad reductora de agua, hace que el uso de dicha tecnología sea imprescindible en la formulación de hormigones fabricados con arenas problemáticas.

Figura 5 – Master Builders Solutions, sigue “inspirando a la gente para construir mejor”.
Contenido relacionado
Diciembre 4 - 2025
23
COP30: lo que nos dejó la cumbre de la Amazonía
La COP30 cierra con más fondos para adaptación, avances en derechos indígenas y un gran pendiente: dejar atrás los fósiles.
Diciembre 4 - 2025
20
La megaconstrucción española de 2 millones de euros que creará 2000 empleos: un nuevo macrocentro de datos para la península
Badajoz será sede de un centro de datos de IA con infraestructura puntera diseñada para dar servicio a compañías de cualquier ámbito. España busca liderar la industria.
Diciembre 4 - 2025
20
El reto de la altura en la construcción industrializada: viabilidad y limitaciones
La construcción industrializada en altura se presenta como una solución innovadora en el sector de la edificación.





